Composite Fabric,bonded fabric,Lamination Fabric Composite Fabric Technology Chemical fiber defect content composite fabric information

Chemical fiber defect content composite fabric information



Impurities in chemical short fibers refer to inclusions other than fibers, and defects refer to abnormal and abnormal fibers formed during the production process. Defects include stiff threads (brittle and hard…

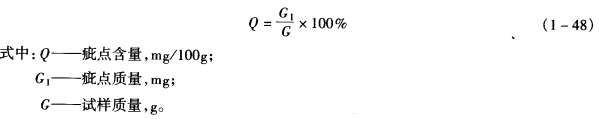
Impurities in chemical short fibers refer to inclusions other than fibers, and defects refer to abnormal and abnormal fibers formed during the production process. Defects include stiff threads (brittle and hard threads), doubling threads (several fibers that are bonded together and difficult to separate), hard threads (thicker threads than undrawn threads due to abnormal spinning), and notes. Top yarn (silk with a hard lump in the middle or one end due to abnormal spinning), undrafted yarn (thick and hard silk produced without drafting or insufficient drafting), gum block (small aggregate without forming fibers) Abnormal fibers such as the body), hard plate filaments (fiber lumps formed by extrusion of the crimping machine), thick fibers (single fibers with a diameter 4 times or more than normal fibers). Defect content calculation formula:
AAA57865ERT34GSD

This article is from the Internet, does not represent Composite Fabric,bonded Fabric,Lamination Fabric position, reproduced please specify the source.https://www.yjtextile.com/archives/29788

Author: clsrich

 
Back to top
Home
Phone
Application
Product
Search